コラム 2024.01.15
スマホ&デバイスで健康度がアップ? オンラインリハビリテーション研究結果からわかったこと 大阪行岡医療大学 医療学部 特別教授・三木健司
オンラインリハビリテーションで、生活の質が向上
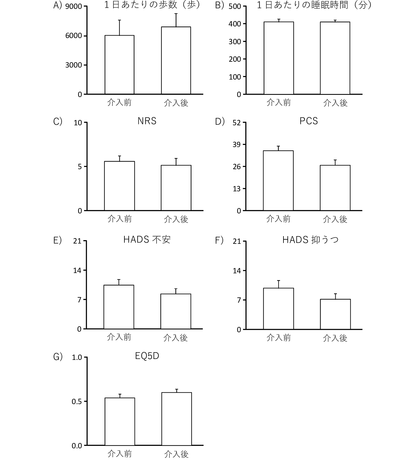
我々の研究での評価指標は、Fitbitにおける記録に加えて、痛み強度(Numeric rating scale; NRS)、痛み破局化尺度(Pain Catastrophizing Scale; PCS)、不安抑うつ尺度(Hospital Anxiety and Depression Scale;HADS)、Euro Quality of life 5 Dimension;EQ-5D)を用い、すべての評価はオンラインリハビリテーション介入前と介入後に行いました。
NRSは痛みの強さを0「痛みがない」から10「想像できる最大の痛み」として測定しました。HADSは不安と抑うつがそれぞれ7項目で構成され、点数が高いほど不安と抑うつの程度が高い。PCSは痛みに対する破局的思考の程度を測定する質問票です。13項目で構成され、点数が高いほど破局的思考の程度が高い。EQ-5Dは生活の質を評価するための質問票である。5項目で構成され、点数が低いほど生活の質が低い。各評価指標スコアについて介入前と、3か月間にわたる介入後の値を比較した結果、1日あたりの歩数、NRS、PCS、HADS不安、HADS抑うつ、EQ-5Dは、介入前と比較してそれぞれ改善しました。

